View this email in your browser

Newsletter 173

September 2025
PINFA IN ACTION
Free webinar: Battery storage and fire safety

Free webinar: Battery storage and fire safety

Wednesday 24th September 17h30 CEST. With Maia Benstead, IDTechEx. Battery storage perspectives and fire challenges.

Interflam 2025

Interflam 2025

pinfa presented benefits and risks of PIN flame retardant use at Interflam 2025, Royal Holloway, University of London UK

GRENFELL TOWER FIRE AND CLADDING MATERIALS
Grenfell Forever In Our Hearts

Grenfell Forever In Our Hearts

Netflix documentary. Survivors, witnesses and experts tell the tragic story of how 72 lives were unnecessarily lost

UK sets cladding replacement deadlines

UK sets cladding replacement deadlines

UK Government sets deadlines for remediation of fire-risk cladding materials at end 2029 or 2031

POLICY AND REGULATION
EU Chemical Industry Action Plan

EU Chemical Industry Action Plan

Commission Plan to identify and support ?Critical? chemicals, affordable energy, decarbonisation, green chemicals.

EU 6th ?omnibus? simplification proposals

EU 6th ?omnibus? simplification proposals

Proposal aims to simplify chemical regulations for chemicals labelling and REACH requirements.

EU consultation: Circular Economy Act

EU consultation: Circular Economy Act

Call for evidence open to 6th November 2025 starts procedure for this Act, presented as a key Commission policy, and intended for end 2026.

EU consultation: environmental reporting

EU consultation: environmental reporting

Call for evidence open to 10th September on simplification of environmental reporting obligations.

Classification of TiO2 powder annulled

Classification of TiO2 powder annulled

The European Court of Justice has confirmed the annulment of the Classification of titanium dioxide powder particles ?10 ?m.

US may or may not regulate e-bike batteries

US may or may not regulate e-bike batteries

Federal regulators and CSPC are considering obligatory standards for small e-mobility device battery systems.

EU tightens PBDE restrictions

EU tightens PBDE restrictions

The PBDE brominated flame retardants are listed as POPs (Persistent Organic Pollutants) under the global Stockholm convention and in the EU POPs Regulation 2019/1021.

INNOVATION
Non-halogen, non-antimony PIN FR PP

Non-halogen, non-antimony PIN FR PP

Highland Plastics Kelvinite non-halogen FR polyporopylene (PP) achieves UL94 V-0 at 0.25mm thickness. 

Phosphorus FRs for battery electrolytes

Phosphorus FRs for battery electrolytes

Review underlines benefits and potential of phosphorus-based FRs to improve fire safety of organic battery electrolytes.

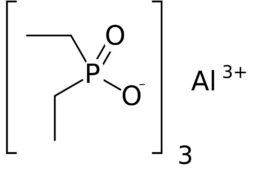
DEPAL PIN FR in epoxy

DEPAL PIN FR in epoxy

DEPAL showed effective combination of fire performance and limited mechanical properties in amine-cured epoxy.

RESEARCH
Mechanisms of sulphur ? nitrogen PIN FRs

Mechanisms of sulphur ? nitrogen PIN FRs

Six similar sulphur ? nitrogen PIN FRs were synthesised and tested in polypropylene (PP) and polyamide (PA6).

Recycling battery cathodes to PIN FRs

Recycling battery cathodes to PIN FRs

Minerals recovered from nickel-cobalt-manganese (NCM) batteries were an effective synergist to APP (PIN FR) in TPU (thermoplastic polyurethane).

Download current Pinfa Newsletter in PDF format.
Copyright ? 2026 Pinfa, All rights reserved.

Our mailing address is:
pinfa (at) cefic.org

This email was sent to . You have received this email because you have subscribed to Pinfa newsletter.
Want to change how you receive these emails?
You can update your preferences or unsubscribe from this list